Former WSSC Commissioner Juanita “Wild Child” Miller has a tempestuous past, ripping up the agency over bogus accusations of racism and firing off ranting mass emails to every employee at once. Now the Wild Child is running for Prince George’s County Council and is embroiled in the biggest scandal of her volcanic political career: plagiarism. That’s right, folks – Miller has literally stolen the campaign platform of an opponent.
Miller is running in Council District 9 in Prince George’s, which stretches across the southern-most part of the county and is currently represented by Marilynn Bland. Bland is term-limited, so this is an open seat and six Democrats are running for it. One of them is Tamara Davis Brown, who ran unsuccessfully for Delegate against Joe Vallario and Jim Proctor in 2006. Brown filed to run on 12/11/09 and set up her website, complete with a campaign platform, in the same month. Miller has been raising money since October 2008, but did not file for council until 3/31/10. As of this writing, she has no website.
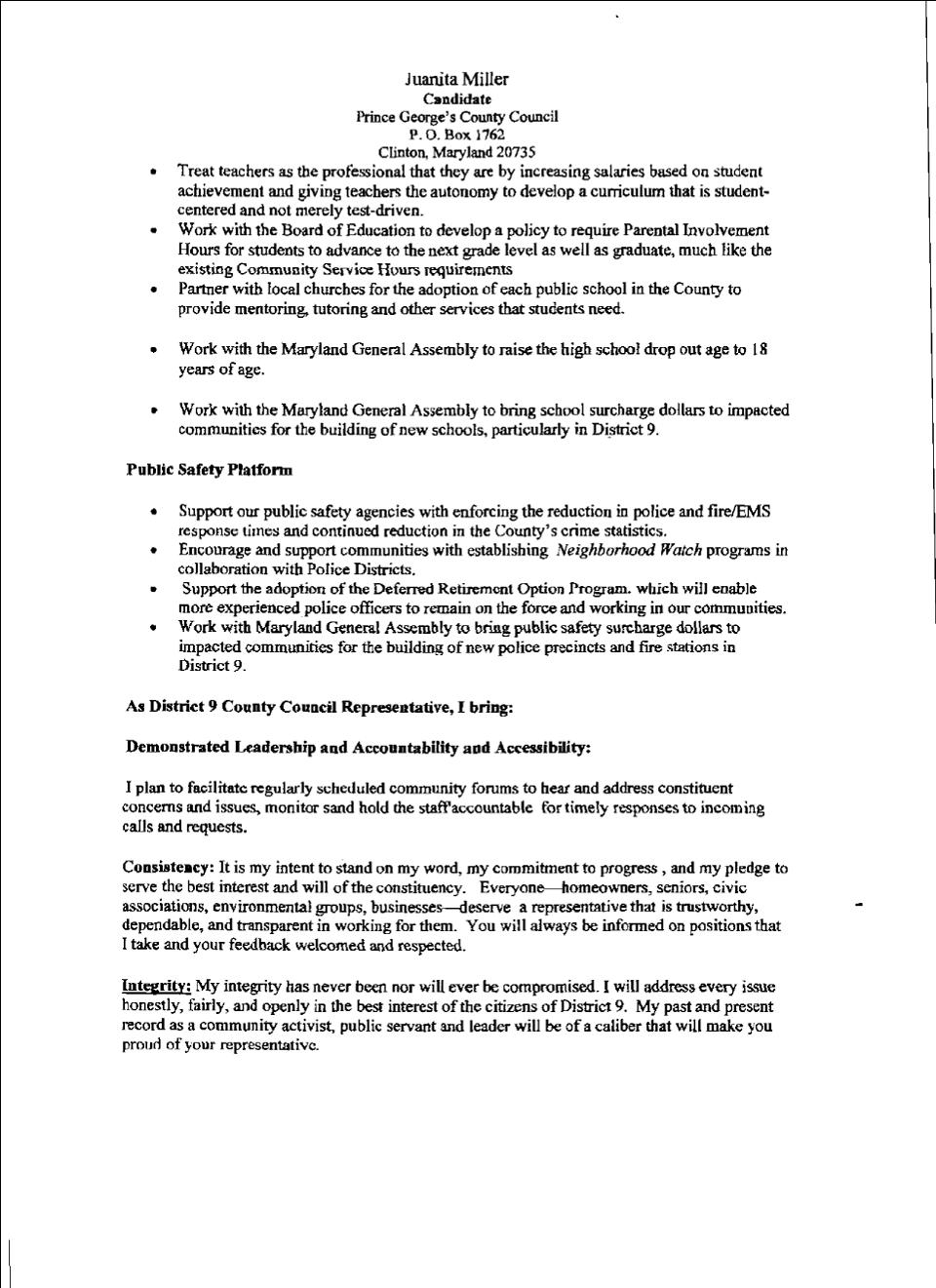
Last week, Miller spoke to a meeting of the Hampton Home Owners Association in Brandywine and Brown showed up to listen. Miller distributed the following flyer laying out her platform to attendees. Note the lack of an authority line – a classic violation of Maryland election law.


Miller’s platform bears a close resemblance to the platform Brown has had up on her website for six months. Actually, it’s not just close – parts of it are almost identical! Consider these quotes.
Brown discussing sustainable economic development:
Use our resources wisely to support local small businesses and non-profits organizations as incubators for green technology such as wind and geo-thermal energy.
Create public-private partnerships with local, regional and national businesses to expand investment, growth and development in Prince George’s County.
Miller discussing sustainable economic development:
Use our resources wisely to support local small businesses and non-profits organizations as incubators for green technology such as wind and geo-thermal energy.
Create public-private partnerships with local, regional and national businesses to expand investment, growth and development in Prince George’s County.
See how each candidate talks about “non-profits organizations?” Incredibly, Miller even stole Brown’s grammatical mistake!
Brown discussing education:
Reinvest in career and technology programs in each high school.
Treat teachers as the professional that they are by increasing salaries based on student achievement and giving teachers the autonomy to develop a curriculum that is student-centered and not merely test-driven.
Work with the Board of Education to develop a policy to require Parental Involvement Hours for students to advance to the next grade level as well as graduate, much like the existing Community Service Hours requirements.
Partner with local churches for the adoption of each public school in the County to provide mentoring, tutoring and other social services that students need.
Work with the Maryland General Assembly to raise the high school drop out age to 18 years of age.
Work with the Maryland General Assembly to bring school surcharge dollars to impacted communities for the building of new schools and renovating existing schools, particularly in District 9.
Miller discussing education:
Reinvest in career and technology programs in each high school.
Treat teachers as the professional that they are by increasing salaries based on student achievement and giving teachers the autonomy to develop a curriculum that is student-centered and not merely test-driven.
Work with the Board of Education to develop a policy to require Parental Involvement Hours for students to advance to the next grade level as well as graduate, much like the existing Community Service Hours requirements.
Partner with local churches for the adoption of each public school in the County to provide mentoring, tutoring and other services that students need.
Work with the Maryland General Assembly to raise the high school drop out age to 18 years of age.
Work with the Maryland General Assembly to bring school surcharge dollars to impacted communities for the building of new schools and renovating existing schools, particularly in District 9.
See how each candidate says, “Treat teachers as the professional that they are?” Miller stole Brown’s grammatical mistake AGAIN!
As far as we know, there is no election law against plagiarism. But if the Wild Child is stealing campaign material as a candidate, what will she steal if she gets elected?
